| Многочлен - это выражение, которое представляет собой сумму одночленов. |
Примеры многочленов:

| Одночлены, из которых составлен многочлен, называют членами многочлена. |
Так, членами многочлена
являются одночлены
.
| Если многочлен состоит из двух членов, его называют двучленом; если из трех членов - трехчленом. Одночлен считают многочленом, состоящим из одного члена. |
Связь между многочленами, одночленами и числами можно показать с помощью следующей схемы:

| Подобные слагаемые в многочлене называют подобными членами многочлена, а приведение подобных слагаемых в многочлене - приведением подобных членов многочлена. |
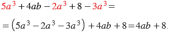
Пример: Приведем подобные члены в многочлене
.
Решение:

Приведение подобных членов многочлена позволяет заменить многочлен на тождественно равный ему, но более простой - с меньшим количеством членов.
| Многочлен, состоящий из одночленов стандартного вида, среди которых нет подобных, называют многочленом стандартного вида. |
Примеры многочленов стандартного вида:

| Любой многочлен можно привести к стандартному виду. Для этого нужно каждый его член представить в стандартном виде и привести подобные члены. |
| Степенью многочлена стандартного вида называют наибольшую из степеней входящих в него одночленов. |
Примеры:
Степень многочлена
равна 3;
Степень многочлена
равна 7;
Степень многочлена
равна 0.
| Степенью произвольного многочлена называют степень тождественно равного ему многочлена стандартного вида. |
Пример: Определим степень многочлена
.
Для этого приведем его к стандартному виду:

Степень многочлена
равна двум, поэтому степень многочлена
также равна двум.
Число 0, а также многочлены, тождественно равные нулю (например,
), называют нуль-многочленами. Их не относят к многочленам стандартного вида. Считают, что нуль-многочлен степени не имеет.
Линейное уравнение с одной переменной
Решение задач с помощью уравнений
Тождественно равные выражения. Тождества
Степень с натуральным показателем
Свойства степени с натуральным показателем
Сложение и вычитание многочленов
Умножение одночлена на многочлен
Умножение многочлена на многочлен
Разложение многочленов на множители
Формулы сокращенного умножения
Квадратные корни. Дейстительные числа
Системы линейных уравнений с двумя переменными
Элементы математической логики
7 класс
Номер 326, Мерзляк, Полонский, Якир, Учебник
Номер 335, Мерзляк, Полонский, Якир, Учебник
Номер 359, Мерзляк, Полонский, Якир, Учебник
Номер 420, Мерзляк, Полонский, Якир, Учебник
Номер 478, Мерзляк, Полонский, Якир, Учебник
Номер 479, Мерзляк, Полонский, Якир, Учебник
Номер 707, Мерзляк, Полонский, Якир, Учебник
Номер 734, Мерзляк, Полонский, Якир, Учебник
Номер 1148, Мерзляк, Полонский, Якир, Учебник
Номер 1207, Мерзляк, Полонский, Якир, Учебник
8 класс
Номер 22, Мерзляк, Полонский, Якир, Учебник
Номер 23, Мерзляк, Полонский, Якир, Учебник
Номер 45, Мерзляк, Полонский, Якир, Учебник
Номер 112, Мерзляк, Полонский, Якир, Учебник
Номер 132, Мерзляк, Полонский, Якир, Учебник
Номер 204, Мерзляк, Полонский, Якир, Учебник
Номер 467, Мерзляк, Полонский, Якир, Учебник
Номер 664, Мерзляк, Полонский, Якир, Учебник
Номер 761, Мерзляк, Полонский, Якир, Учебник
Номер 766, Мерзляк, Полонский, Якир, Учебник