Номер 1092 - ГДЗ Математика 6 класс. Мерзляк, Полонский. Учебник. Страница 231

Вернуться к содержанию учебника

Страница 231

1089 1090 1091 1092 1093 1094 1095

Вопрос

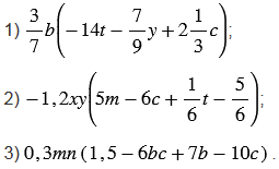
Раскройте скобки:

Подсказка

Ответ


Вернуться к содержанию учебника