Номер 709 - ГДЗ Алгебра 7 класс. Мерзляк, Полонский. Учебник. Страница 124

Вернуться к содержанию учебника

Страница 124

706 707 708 709 710 711 712

Вопрос

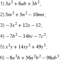
Разложите на множители:

Подсказка

Ответ


Вернуться к содержанию учебника