Номер 744 - ГДЗ Алгебра 7 класс. Мерзляк, Полонский. Учебник. Страница 127

Вернуться к содержанию учебника

Страница 127

741 742 743 744 745 746 747

Вопрос

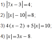
Решите уравнение:

Подсказка

Ответ


Вернуться к содержанию учебника