Номер 793 - ГДЗ Алгебра 7 класс. Мерзляк, Полонский. Учебник. Страница 150

Вернуться к содержанию учебника

Страница 150

790 791 792 793 794 795 796

Вопрос

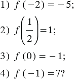
Функция задана формулой . Верно ли равенство:

Подсказка

Ответ


Вернуться к содержанию учебника